Giáo án PPT dạy thêm Toán 12 cánh diều Bài 3: Tích phân
Tải giáo án PowerPoint dạy thêm Toán 12 cánh diều Bài 3: Tích phân. Giáo án điện tử thiết kế hiện đại, đẹp mắt, nhiều bài tập ôn tập, mở rộng kiến thức phong phú. Tài liệu tải về và chỉnh sửa được. Mời thầy cô và các bạn kéo xuống theo dõi.
Xem: => Giáo án toán 12 cánh diều
Click vào ảnh dưới đây để xem 1 phần giáo án rõ nét
















Các tài liệu bổ trợ khác
Xem toàn bộ: Giáo án ppt dạy thêm toán 12 cánh diều cả năm
NHIỆT LIỆT CHÀO ĐÓN
CÁC EM ĐẾN VỚI BÀI HỌC MỚI!
BÀI TẬP KHỞI ĐỘNG
Tính các tích phân sau:
Giải
...........................................
BÀI 3:
TÍCH PHÂN
A. HỆ THỐNG KIẾN THỨC
Nhắc lại kiến thức phần lí thuyết cần ghi nhớ
Nêu định nghĩa hình thang cong và diện tích hình thang cong.
Nêu định nghĩa tích phân và ý nghĩa hình học của tích phân.
Trình bày các tính chất cơ bản của tích phân.
Trình bày tích phân của một số hàng sơ cấp.
I. Định nghĩa tích phân
1. Diện tích hình thang cong
Cho hàm số liên tục, không âm trên đoạn
.
Hình phẳng gồm các điểm có tọa độ sao cho
và
được gọi là hình thang cong
giới hạn bởi đồ thị của hàm số
, trục
và hai đường thẳng
Bằng cách chia đoạn
thành
phần bằng nhau, ta lập được tổng tích phân cấp
của hàm số
trên đoạn
là:
...........................................
II. Tính chất cơ bản của tích phân
Cho là các hàm số liên tục trên đoạn
. Khi đó, ta có:
1) (k là hằng số);
2) ;
3) ;
4) .
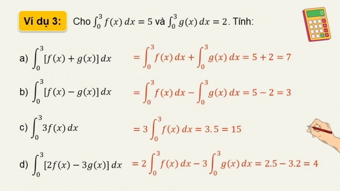
Ví dụ 3:
Cho và
. Tính:
a)
b)
...........................................
B. LUYỆN TẬP - VẬN DỤNG
Dạng 1: Áp dụng định nghĩa và tính chất
Áp dụng định nghĩa, tính chất và bảng công thức nguyên hàm cơ bản:
Phương pháp giải
1)
2) (tích phân có hai cận giống nhau thì bằng 0)
3)
4) với
.
5)
6) Trong đoạn , tồn tại
thì
.
Ý nghĩa hình học của tích phân:
Nếu hàm số liên tục và không âm trên đoạn
, thì tích phân
là diện tích
của hình thang cong giới hạn bởi đồ thị
, trục hoành và hai đường thẳng
,
. Vậy
Bài 1:
Tính các tích phân sau đây:
Giải
a)
...........................................
Dạng 2:
Tích phân chứa dấu giá trị tuyệt đối và tích phân nhiều hàm số
Phương pháp giải
Tích phân hàm số chứa dấu giá trị tuyệt đối:
Cách 1: Cho tìm nghiệm thuộc
, giả sử các nghiệm đó là
. Khi đó:
Cách 2:
- Cho
tìm nghiệm
.
- Xét dấu
trên
.
- Áp dụng công thức phá trị tuyệt đối
để phá trị tuyệt đối trong dấu tích phân.
- Tính mỗi tích phân thành phần.
--------------- Còn tiếp ---------------
Trên chỉ là 1 phần của giáo án. Giáo án khi tải về có đầy đủ nội dung của bài. Đủ nội dung của học kì I + học kì II
Hệ thống có đủ tài liệu:
- Giáo án ppt dạy thêm toán 12 cánh diều cả năm (350k)
- Giáo án toán 12 cánh diều (300k)
- Giáo án chuyên đề toán 12 cánh diều (300k)
- Giáo án Powerpoint Toán 12 Cánh diều (350k)
- Giáo án dạy thêm toán 12 cánh diều (300k)
- Giáo án powerpoint chuyên đề toán 12 cánh diều (350k)
- Câu hỏi và bài tập trắc nghiệm Toán 12 cánh diều (150k)
- Giáo án powerpoint dạy thêm toán 12 cánh diều (350k)
- File word đáp án Toán 12 cánh diều (100k)
- Đề thi Toán 12 Cánh diều (150k)
- Kiến thức trọng tâm Toán 12 cánh diều (150k)
- Phiếu học tập theo bài Toán 12 cánh diều cả năm (150k)
- Trắc nghiệm đúng sai Toán 12 cánh diều cả năm (150k)
- Bài tập file word Toán 12 cánh diều (150k)
- Trắc nghiệm dạng câu trả lời ngắn Toán 12 cánh diều cả năm (150k)
=> Có thể chọn nâng cấp VIP với phí là 1050k để tải tất cả tài liệu ở trên
- Chỉ gửi 500k. Tải về dùng thực tế, 1 ngày sau mới gửi số còn lại.
Cách tải hoặc nâng cấp:
- Bước 1: Chuyển phí vào STK: 1214136868686 - cty Fidutech - MB
- Bước 2: Nhắn tin tới Zalo Fidutech - nhấn vào đây để thông báo và nhận tài liệu
Xem toàn bộ: Giáo án ppt dạy thêm toán 12 cánh diều cả năm
ĐẦY ĐỦ GIÁO ÁN CÁC BỘ SÁCH KHÁC
GIÁO ÁN WORD LỚP 12 CÁNH DIỀU
Giáo án hoạt động trải nghiệm hướng nghiệp 12 cánh diều
Giáo án Tin học 12 - Định hướng khoa học máy tính cánh diều
Giáo án Tin học 12 - Định hướng Tin học ứng dụng cánh diều
GIÁO ÁN POWERPOINT LỚP 12 CÁNH DIỀU
Giáo án Powerpoint Toán 12 Cánh diều
Giáo án powerpoint hình học 12 cánh diều
Giáo án powerpoint đại số 12 cánh diều
Giáo án powerpoint vật lí 12 cánh diều
Giáo án powerpoint sinh học 12 cánh diều
Giáo án powerpoint hoá học 12 cánh diều
Giáo án powerpoint ngữ văn 12 cánh diều
Giáo án powerpoint lịch sử 12 cánh diều
Giáo án powerpoint địa lí 12 cánh diều
Giáo án powerpoint Kinh tế pháp luật 12 cánh diều
Giáo án powerpoint Công nghệ 12 Công nghệ điện - điện tử cánh diều
Giáo án powerpoint Công nghệ 12 Lâm nghiệp - Thuỷ sản cánh diều
Giáo án powerpoint Tin học 12 - Định hướng Tin học ứng dụng cánh diều
Giáo án powerpoint Tin học 12 - Định hướng khoa học máy tính cánh diều
Giáo án powerpoint hoạt động trải nghiệm hướng nghiệp 12 cánh diều
GIÁO ÁN CHUYÊN ĐỀ LỚP 12 CÁNH DIỀU
GIÁO ÁN POWERPOINT CHUYÊN ĐỀ 12 CÁNH DIỀU
GIÁO ÁN DẠY THÊM LỚP 12 CÁNH DIỀU
Giáo án dạy thêm toán 12 cánh diều
Giáo án dạy thêm ngữ văn 12 cánh diều
Giáo án powerpoint dạy thêm ngữ văn 12 cánh diều
Giáo án powerpoint dạy thêm toán 12 cánh diều